字符串替换研究
本文由 简悦 SimpRead 转码, 原文地址 my.oschina.net
一、背景 需求非常简单,给定一组关键词,需要将商品名称中出现过的关键字替换掉; 如:skuName="HUAWEI Pura 70 Pro 国家补贴 500 元 羽砂黑 12GB+512GB 超高速风驰闪拍......
需求非常简单,给定一组关键词,需要将商品名称中出现过的关键字替换掉;
如:skuName="HUAWEI Pura 70 Pro 国家补贴 500 元 羽砂黑 12GB+512GB 超高速风驰闪拍 华为鸿蒙智能手机 " 需要替换成
sku;
直接 skuName.replace ("国家补贴 500 元", ""),不就可以了吗?如果是一组,那就循环替换就完了嘛,再考虑到关键字前缀问题,对这一组关键词,按字符长度进行排序,先替换长的关键词,再替换短的就 ok 了;
如果这一组关键词非常多,上千个怎么办?真实场景也是这样的,一般需要替换的关键词都是比较多,并且使用 String.replace 上线后,直接 CPU 打满,基本不可用;
这个字段替换本质上与敏感词过滤是一样的原理,针对敏感词的深入研究,出现了 Aho-Corasick(AC 自动机) 算法;
Aho-Corasick(AC 自动机)是一种多模式字符串匹配算法,结合了 Trie 树的前缀匹配能力和 KMP 算法的失败跳转思想,能够在单次文本扫描中高效匹配多个模式串。其核心优势在于时间复杂度为 O (n + m + z)(n 为文本长度,m 为模式串总长度,z 为匹配次数),适用于敏感词过滤、基因序列分析等场景。
针对这几种算法进行对比;
字符串替换,定义一个接口,通过 4 个不同的方案实现,进行性能对比
public interface Replacer {
    String replaceKeywords(String text);
}
2.1 String.replace 方案
这种方案最简单,也是关键词少的时候,最有效,最好用的;
public class StrReplacer implements Replacer {
    private final List<String> keyWordList;
    public StrReplacer(String keyWords) {
        this.keyWordList = Lists.newArrayList(keyWords.split(";"));
        
        keyWordList.sort((a, b) -> Integer.compare(b.length(), a.length()));
    }
    
    @Override
    public String replaceKeywords(String text) {
        String newTxt = text;
        for (String s : keyWordList) {
            newTxt = newTxt.replace(s, "");
        }
        return newTxt;
    }
}
2.2 使用正则替换
String.replace 本质,还是使用正则进行替换的,通过代码实现使用编译好的正则进行替换性能会好于直接使用 replace;
String.replace 的实现
public String replace(CharSequence target, CharSequence replacement) {
    return Pattern.compile(target.toString(), Pattern.LITERAL).matcher(
            this).replaceAll(Matcher.quoteReplacement(replacement.toString()));
}
使用正则替换的实现
public class PatternReplacer implements Replacer {
    
    private final Pattern pattern;
    public PatternReplacer(String keyWords) {
        List<String> keywords = Lists.newArrayList(keyWords.split(";"));
        
        keywords.sort((a, b) -> Integer.compare(b.length(), a.length()));
        
        String regex = keywords.stream()
                .map(Pattern::quote)
                .collect(Collectors.joining("|"));
        this.pattern = Pattern.compile(regex);
    }
    
    @Override
    public String replaceKeywords(String skuName) {
        return pattern.matcher(skuName).replaceAll("");
    }
}
2.3 使用 Aho-Corasick(AC 自动机) 算法实现
在 java 中已有现成的算法实现,源代码 github-robert-bor/aho-corasick,
引入 jar 包
<dependency>
    <groupId>org.ahocorasick</groupId>
    <artifactId>ahocorasick</artifactId>
    <version>0.6.3</version>
</dependency>
基于 Aho-Corasick 算法的字符串替换实现
public class AhoCorasickReplacer implements Replacer {
    private final Trie trie;
    public AhoCorasickReplacer(String keyWords) {
        
        Trie.TrieBuilder builder = Trie.builder().ignoreOverlaps().onlyWholeWords();
        
        
        for (String s : keyWords.split(";")) {
            builder.addKeyword(s);
        }
        this.trie = builder.build();
    }
    
    @Override
    public String replaceKeywords(String text) {
        if (text == null || text.isEmpty()) {
            return text;
        }
        StringBuilder result = new StringBuilder();
        Collection<Emit> emits = trie.parseText(text); 
        int lastEnd = 0;
        for (Emit emit : emits) {
            int start = emit.getStart();
            int end = emit.getEnd();
            
            if (start > lastEnd) {
                result.append(text, lastEnd, start);
            }
            
            lastEnd = end + 1; 
        }
        
        if (lastEnd <= text.length() - 1) {
            result.append(text.substring(lastEnd));
        }
        return result.toString();
    }
}
2.4 自己实现 Trie 树算法实现
通过 deepseek 等人工智能,是非常容易自己实现一个 Trie 树,我们就只实现字符串替换的功能,其他的就不使用了;
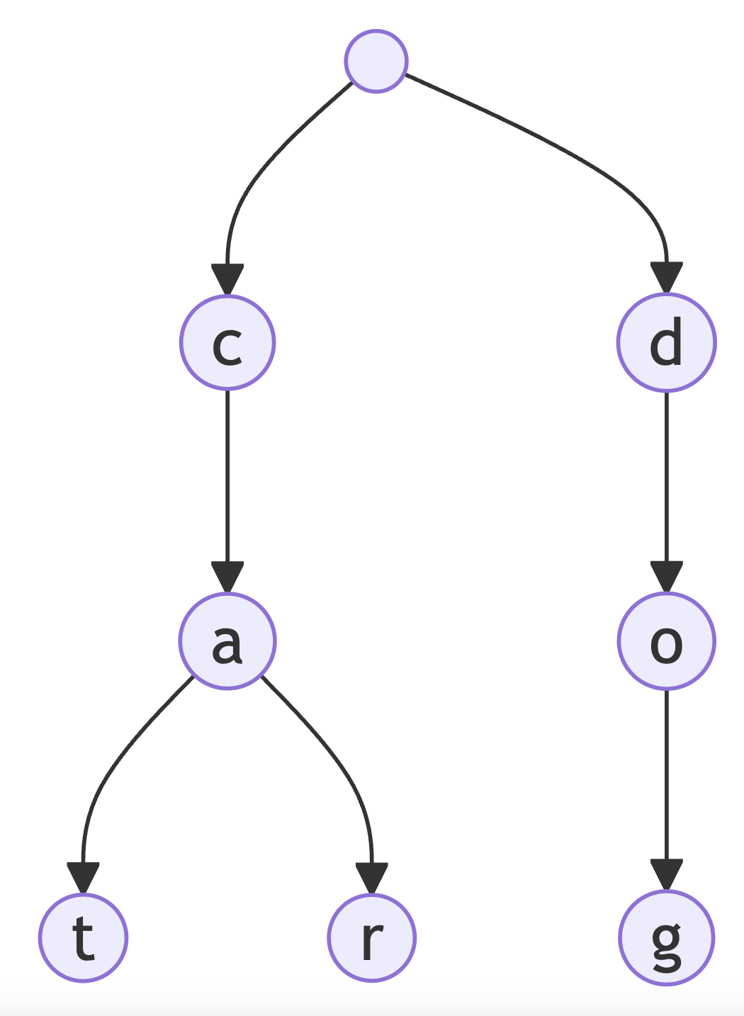
Trie 树,又叫字典树,前缀树 (Prefix Tree),单词查找树,是一种多叉树的结构.

结构说明: 表示根节点(空节点)
每个节点表示一个字符
粉色节点表示单词结束标记(使用 CSS class 实现)
路径示例:
root → c → a → t 组成 "cat"
root → c → a → r 组成 "car"
root → d → o → g 组成 "dog"
public class TrieKeywordReplacer implements Replacer {
    private final Trie trie;
    @Override
    public String replaceKeywords(String text) {
        return trie.replaceKeywords(text, "");
    }
    public TrieKeywordReplacer(String keyWords) {
        Trie trie = new Trie();
        for (String s : keyWords.split(";")) {
            trie.insert(s);
        }
        this.trie = trie;
    }
    static class TrieNode {
        Map<Character,TrieNode> children;
        boolean isEndOfWord;
        public TrieNode() {
            children = new HashMap<>();
            isEndOfWord = false;
        }
    }
    static class Trie {
        private TrieNode root;
        public Trie() {
            root = new TrieNode();
        }
        private synchronized void insert(String word) {
            TrieNode node = root;
            for (char c : word.toCharArray()) {
                if (node.children.get(c) == null) {
                    node.children.put(c, new TrieNode());
                }
                node = node.children.get(c);
            }
            node.isEndOfWord = true;
        }
        public String replaceKeywords(String text, String replacement) {
            StringBuilder result = new StringBuilder();
            int i = 0;
            while (i < text.length()) {
                TrieNode node = root;
                int j = i;
                TrieNode endNode = null;
                int endIndex = -1;
                while (j < text.length() && node.children.get(text.charAt(j)) != null) {
                    node = node.children.get(text.charAt(j));
                    if (node.isEndOfWord) {
                        endNode = node;
                        endIndex = j;
                    }
                    j++;
                }
                if (endNode != null) {
                    result.append(replacement);
                    i = endIndex + 1;
                } else {
                    result.append(text.charAt(i));
                    i++;
                }
            }
            return result.toString();
        }
    }
}
4 个实现类对象的大小对比
| 类 | 对象大小 | 
|---|---|
| StrReplacer | 12560 | 
| PatternReplacer | 21592 | 
| TrieKeywordReplacer | 184944 | 
| AhoCorasickReplacer | 253896 | 
性能对比
说明:待替换一组关键词共 400 个;JDK1.8
| StrReplacer | PatternReplacer | TrieKeywordReplacer | AhoCorasickReplacer | |
| 单线程循环 1w 次,平均单次性能 (ns) | 21843ns | 28846ns | 532ns | 727ns | 
| 名称中只有 1 个待替换的关键词,2 个并发线程,循环 1w 次,平均单次性能 (ns),机器 CPU 30% 左右 | 23444ns | 39984ns | 680ns | 1157ns | 
| 名称中只有 20 待替换的关键词,2 个并发线程,循环 1w 次,平均单次性能 (ns),机器 CPU 30% 左右 | 252738ns | 114740ns | 33900ns | 113764ns | 
| 名称中只有无待替换的关键词,2 个并发线程,循环 1w 次,平均单次性能 (ns),机器 CPU 30% 左右 | 22248ns | 9253ns | 397ns | 738ns | 
通过性能对比,自己实现的 Trie 树的性能是最好的,因为只做了替换的逻辑,没有实现其他功能,其次是使用 AhoCorasick 算法,因为使用 AhoCorasick 算法,实现字符串替换是最基本的功能,AhoCorasick 算法,还能精准的匹配到在什么地方,出现过多少次等信息,功能非常强大;
通过对比编译好的正则性能确实是比使用原生 String.replace;
public class ReplacerTest {
    @Test
    public void testTrieKeywordReplacer(){
        
        
        
        
        String name = keyWords;
        String expected = v1;
        int cnt = 2;
        Replacer replacer = new TrieKeywordReplacer(keyWords);
        check(replacer, name, expected);
        for (int i = 0; i < cnt; i++) {
            checkExec(replacer, name);
        }
    }
    @Test
    public void 替换所有关键字() throws InterruptedException {
        
        
        
        
        String name = keyWords;
        String expected = v1;
        int cnt = 2;
        System.out.println("替换:" + name);
        Replacer replacer = new StrReplacer(keyWords);
        check(replacer, name, expected);
        for (int i = 0; i < cnt; i++) {
            checkExec(replacer, name);
        }
        replacer = new PatternReplacer(keyWords);
        check(replacer, name, expected);
        for (int i = 0; i < cnt; i++) {
            checkExec(replacer, name);
        }
        replacer = new TrieKeywordReplacer(keyWords);
        check(replacer, name, expected);
        for (int i = 0; i < cnt; i++) {
            checkExec(replacer, name);
        }
        replacer = new AhoCorasickReplacer(keyWords);
        check(replacer, name, expected);
        for (int i = 0; i < cnt; i++) {
            checkExec(replacer, name);
        }
    }
    @Test
    public void 无关键字替换() throws InterruptedException {
        
        
        String name = "三星Samsung Galaxy S25+ 超拟人AI助理 骁龙8至尊版 AI拍照 翻译手机 游戏手机 12GB+256GB 冷川蓝";
        String expected = name;
        
        
        int cnt = 1;
        System.out.println("替换:" + name);
        Replacer replacer = new StrReplacer(keyWords);
        check(replacer, name, expected);
        for (int i = 0; i < cnt; i++) {
            checkExec(replacer, name);
        }
        replacer = new PatternReplacer(keyWords);
        check(replacer, name, expected);
        for (int i = 0; i < cnt; i++) {
            checkExec(replacer, name);
        }
        replacer = new TrieKeywordReplacer(keyWords);
        check(replacer, name, expected);
        for (int i = 0; i < cnt; i++) {
            checkExec(replacer, name);
        }
        replacer = new AhoCorasickReplacer(keyWords);
        check(replacer, name, expected);
        for (int i = 0; i < cnt; i++) {
            checkExec(replacer, name);
        }
    }
    @Test
    public void 有1个关键字替换() throws InterruptedException {
        
        
        
        
        
        
        String name = "HUAWEI Pura 70 Pro 国家补贴500元 羽砂黑 12GB+512GB 超高速风驰闪拍 华为鸿蒙智能手机";
        String expected = "HUAWEI Pura 70 Pro 500元 羽砂黑 12GB+512GB 超高速风驰闪拍 华为鸿蒙智能手机";
        int cnt = 1;
        System.out.println("替换:" + name);
        Replacer replacer = new StrReplacer(keyWords);
        check(replacer, name, expected);
        for (int i = 0; i < cnt; i++) {
            checkExec(replacer, name);
        }
        replacer = new PatternReplacer(keyWords);
        check(replacer, name, expected);
        for (int i = 0; i < cnt; i++) {
            checkExec(replacer, name);
        }
        replacer = new TrieKeywordReplacer(keyWords);
        check(replacer, name, expected);
        for (int i = 0; i < cnt; i++) {
            checkExec(replacer, name);
        }
        replacer = new AhoCorasickReplacer(keyWords);
        check(replacer, name, expected);
        for (int i = 0; i < cnt; i++) {
            checkExec(replacer, name);
        }
    }
    static void check(Replacer replacer, String name, String expected) {
        System.out.println(replacer.getClass().getName()+",对象大小:"+ObjectSizeCalculator.getObjectSize(replacer));
        String newTxt = replacer.replaceKeywords(name);
        
        Assert.assertEquals(replacer.getClass().getName() + ",对比不一致!", expected, newTxt);
    }
    void checkExec(Replacer replacer, String name) {
        String newTxt = replacer.replaceKeywords(name);
        int nThreads  = 2;
        ExecutorService executorService = Executors.newFixedThreadPool(nThreads);
        CountDownLatch downLatch = new CountDownLatch(nThreads);
        int i = 0;
        while (i++ < nThreads) {
            executorService.submit(new Runnable() {
                @Override
                public void run() {
                    int i = 0;
                    long ns = System.nanoTime();
                    while (i++ < 100000) {
                        replacer.replaceKeywords(name);
                    }
                    String name = replacer.getClass().getName();
                    downLatch.countDown();
                    System.out.println(StringUtils.substring(name, name.length() - 50, name.length()) + "\ti=" + i + ", \t耗时:" + (System.nanoTime() - ns) / i + "ns");
                }
            });
        }
        executorService.shutdown();
        try {
            downLatch.await();
        } catch (InterruptedException e) {
            e.printStackTrace();
        }
    }
1、使用现成的 AhoCorasick 算法进行实现,是性能与稳定性最优的选择,非常强调性能,还是可以自己实现 Trie 树来实现;
2、在真实的使用过程中,因为大部分的商品名称最多出现几个关键词,并且待替换的关键词往往都是比较多的,可以将这么关键词找出找出几个有代表性能的词,做前置判断,商品名称中是否存在;再进行全量替换;
如待替换的关键词有:政府补贴、国补、支持国补; 那么我们并不是直接就循环这个待替换的关键词组,而是找出这么关键词中都有的关键字” 补” 先判断商品名称中是否存在 “补” 字后,再做处理;这里的前置判断,还可以使用布隆过滤器实现;
public String replaceKeywords (String skuName){
    Replacer replacer = new AhoCorasickReplacer(keyWords);
    if(skuName.contains("补")){
        return  replacer.replaceKeywords(skuName);
    } else {
        return skuName;
    }
}
- 
[2] Trie 字典树